• Предмет: Химия
  • Автор: kharchenkooleksandra
  • Вопрос задан 2 года назад

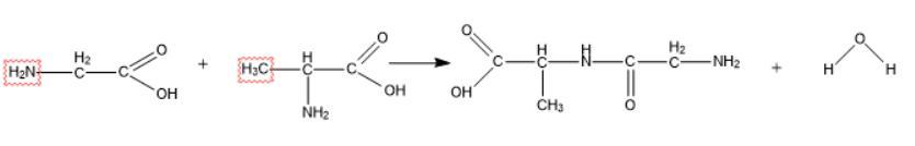
Напишіть рівняння одержання дипептиду з гліцину й аланіну

Ответы

Ответ дал: none941
2

Ответ:

Утворюється дипептид гліцилаланін (H2N – CH2 – CONH – CH(CH3) – COOH)

Объяснение:

Приложения:
Вас заинтересует