• Предмет: Математика
  • Автор: dhdjjk
  • Вопрос задан 2 года назад

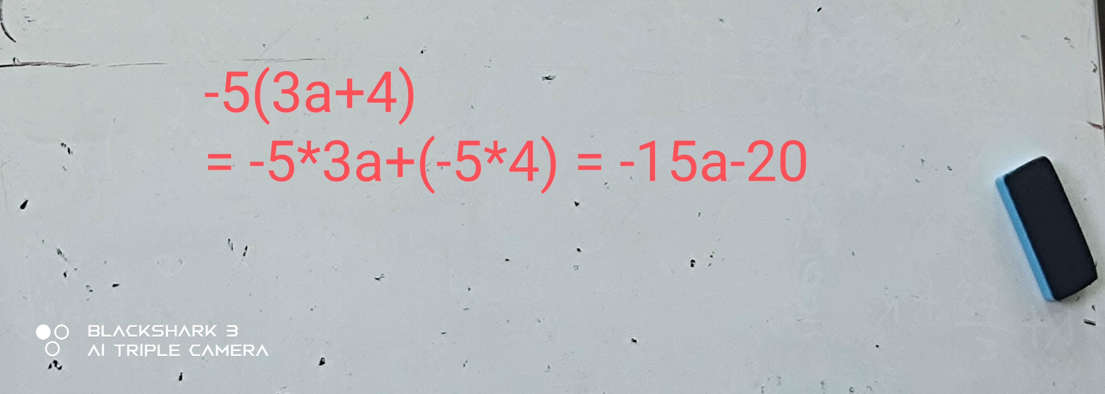
- 5(3a + 4) поможеть ​

Ответы

Ответ дал: keto080
0

Ответ:

-15a-15a-20-15a-15a-2-15a-20-14-15a-20

Пошаговое объяснение:

Приложения:
Вас заинтересует