• Предмет: Алгебра
  • Автор: Violetta856
  • Вопрос задан 2 года назад

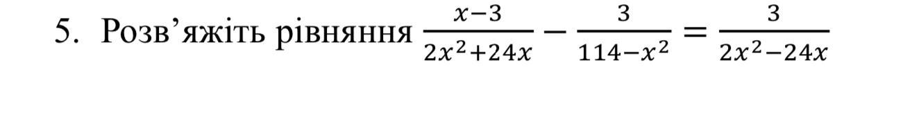
Розв‘яжіть рівняння (завдання на фото)

Приложения:

Ответы

Ответ дал: lidiiaartemenko
0

Відповідь:

На фото

Пояснення:

Приложения:
Вас заинтересует