• Предмет: Математика
  • Автор: sofiii658
  • Вопрос задан 2 года назад

Срочно!!!! Помогите пожалуйста)

Приложения:

Ответы

Ответ дал: kishtanbaevaa12
2

Пошаговое объяснение:

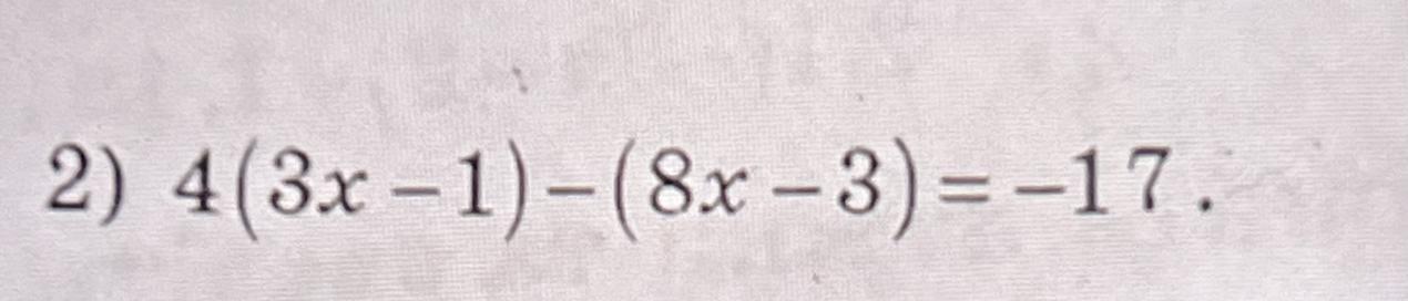
12х-4-8х+3=17

4х-1=-17

4х=-17+1

4х=-16

Х=-4

Вот ответик♡;>


Аноним: Чтоб тебе это объяснить.
Аноним: Как Бали даютица
Аноним: Я з Украины.
sofiii658: Я Укр
sofiii658: Я тоже Укр
Аноним: Я з України Я сейчас обясню как били даютица.
sofiii658: А ти дроби розумієш? Можеш будь ласка ще одне допомогти
Аноним: спробую
Аноним: Тебе помочь.
sofiii658: Дякую
Вас заинтересует