Ответы
Ответ дал:
1
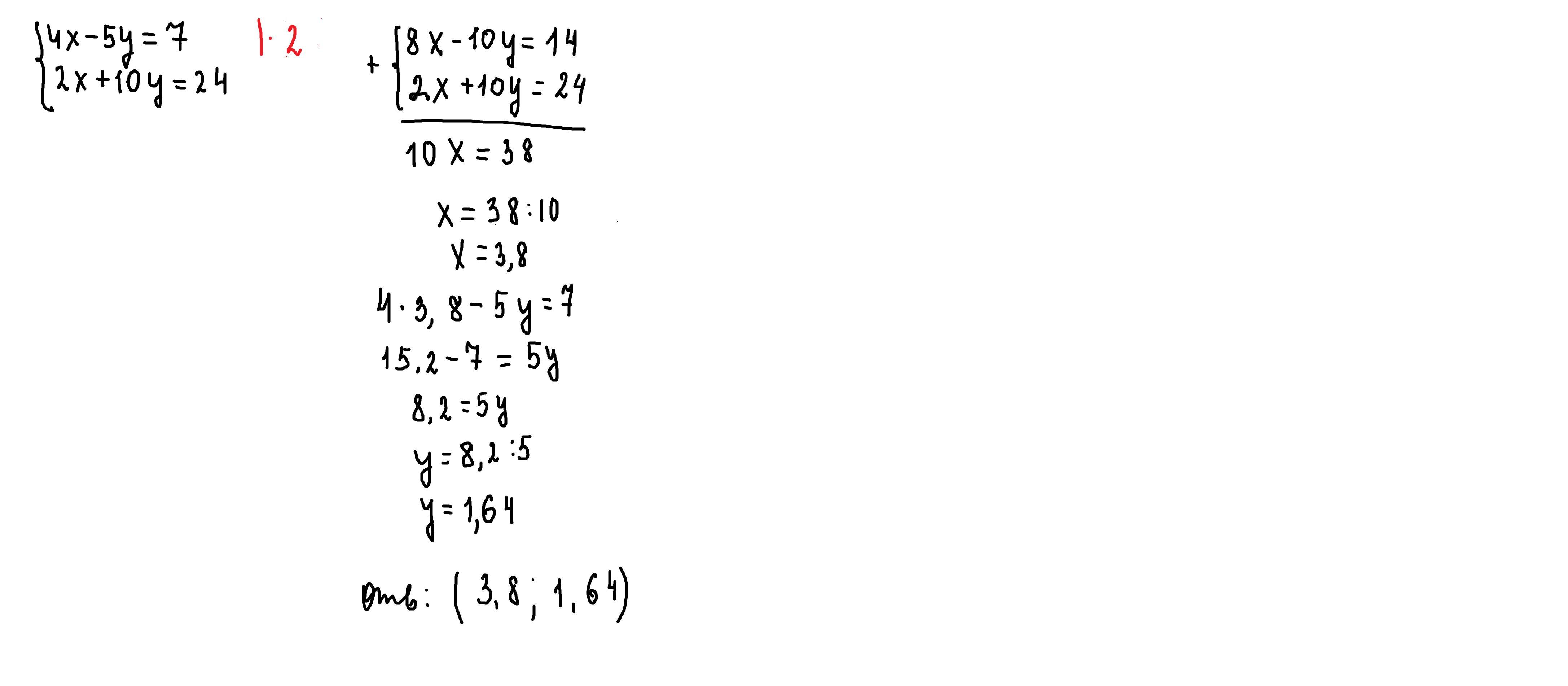
Ответ:
(3,8; 1,64)
Объяснение:
решение способом сложения внизу
Приложения:

Вас заинтересует
1 год назад
1 год назад
3 года назад
3 года назад
8 лет назад
8 лет назад