Ответы
                                            Ответ дал: 
                                                                                    
                                        
                                            
                                                
                                                
                                                
                                                    0
                                                
                                            
                                        
                                    Ответ:
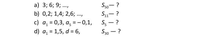
S_n = n/2 * (2a + (n-1)d)
S_5 = 5/2 * (2*3 + (5-1)4)
S_5 = 5/2 * (6 + 44)
S_5 = 5/2 * (6 + 16)
S_5 = 5/2 * 22
S_5 = 55
Таким образом, сумма первых 5 членов арифметической прогрессии с первым членом 3 и разностью 4 составляет 55.
Пошаговое объяснение:
Вас заинтересует
                
                        1 год назад
                    
                
                        1 год назад
                    
                
                        3 года назад
                    
                
                        3 года назад
                    
                
                        8 лет назад