Ответы
Ответ дал:
1
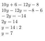
Ответ:
10у-12у=-8-6
-2у=-14
11z+z=-3+3
12z=0
Пошаговое объяснение:
то что я знаю
Ответ дал:
0
ответ на фото внизу, а второе я тоже пытаюсь найти
Приложения:

Вас заинтересует
1 год назад
1 год назад
3 года назад
3 года назад
8 лет назад