• Предмет: Математика
  • Автор: denp102810
  • Вопрос задан 2 года назад

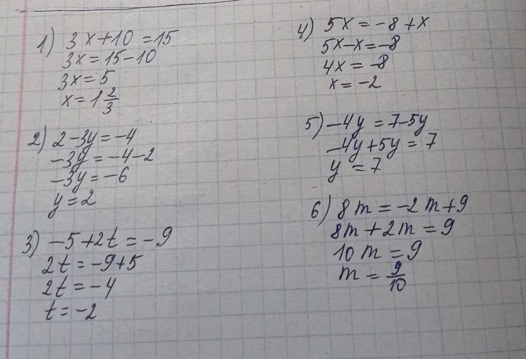
1) 3x + 10 = 15; 4) 5x = -8 + x;
2) 2 - 3y = −4; 5) -4y = 7 - 5y;
3) −5+ 2t = −9; 6) 8m = -2m + 9.
помогите пж ​

Приложения:

Ответы

Ответ дал: Studentka89
1

......................

Приложения:
Ответ дал: sofiavfdgh
0
1) 5/3
2)2
3)-2
4)-2
5)7
6)?
Вас заинтересует