• Предмет: Математика
  • Автор: gosa26012010
  • Вопрос задан 2 года назад

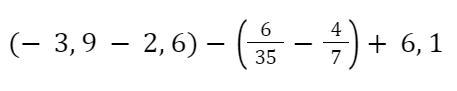
НУЖНО СРОЧНО РЕШИТЬ ДАЮ 50 БАЛЛОВ

Приложения:

Ответы

Ответ дал: inaalieva46gmailcom
1

Решение на картинке........

Приложения:
Вас заинтересует