• Предмет: Алгебра
  • Автор: Demon1Cat
  • Вопрос задан 2 года назад

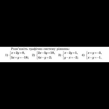
Допоможіть будь-ласка!

Приложения:

Ответы

Ответ дал: MrProfessor
1

Решение на фото..................

Приложения:
Вас заинтересует