• Предмет: Математика
  • Автор: lopotenkopolinka
  • Вопрос задан 2 года назад

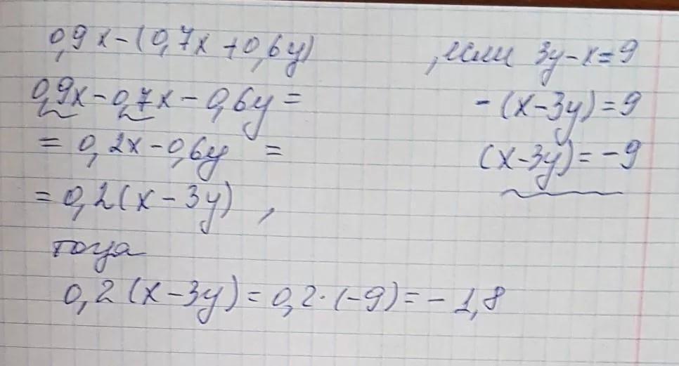
чому дорівнює значення 0,9x-(0, 7x+0, 6y) якщо 3y -x=9 в стовпчик всі дії і додавання/відніманя в стовпчик фото ДАЮ 50 МОНЕТ ПЖ ПОМОГИТЕ​

Ответы

Ответ дал: sergi38
0

Ответ:

я хз вщлутао2оуттуаодуду

Ответ дал: mimika9537
0

Ответ:

ответ на фото!!

Пошаговое объяснение:

Приложения:
Вас заинтересует