• Предмет: Математика
  • Автор: yeschenkopavel
  • Вопрос задан 2 года назад

Помогите пожалуйста, очень срочно

Приложения:

Ответы

Ответ дал: unch1ly
0

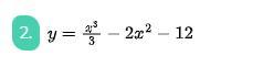
Відповідь:

1. (4:4)
2. (0: -12)

Покрокове пояснення:

Прикріпив малюнки)

Приложения:
Вас заинтересует