СРОЧНО!!!! ДАЮ 40 баллов!
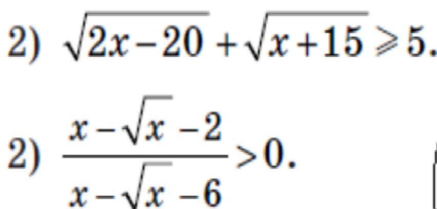
Решите неравенства на фото
Приложения:

lozhkinua20:
Желательно полное решение.
Ответы
Ответ дал:
1
ответы на изображение
поставь пожалуйста лучший ответ (ヽ´ω`)
Приложения:

Вас заинтересует
1 год назад
1 год назад
1 год назад
1 год назад
3 года назад
3 года назад
8 лет назад