• Предмет: Математика
  • Автор: galinakalinina
  • Вопрос задан 10 лет назад

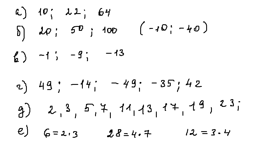
запишите несколько чисел :а)чётных положительных ;б)чётных и кратких 5;в)нечётных отрицательных ;г)нечётных и кратких7;д)простых и меньших 30;е)составных и чётных

Ответы

Ответ дал: esmilya
0
Если понравилось решение - нажимай "спасибо" и "лучший" (рядом с кнопкой "спасибо") :)
Приложения:
Ответ дал: chegevara05
0
спасибо
Ответ дал: esmilya
0
)))))))))))))
Вас заинтересует