• Предмет: Алгебра
  • Автор: Аноним
  • Вопрос задан 2 года назад

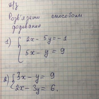
помогите пожалуйста, именно способом додавання

Приложения:

Ответы

Ответ дал: lizau265
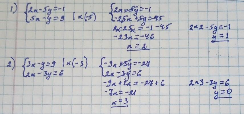
1

Ответ:

1. (2;1) 2. (3;0)

Объяснение:

На фото, надіюсь що допомогла

Приложения:

Аноним: а можно.. написать печатными тут, там такие мелкие буквы, я не все понимаю, но все равно спасибо)
lizau265: х у
lizau265: якщо щось, можеш скачати Photomath, так можно рішати усе що завгодно, крім задач
lizau265: якщо щось, можеш скачати Photomath, так можно рішати усе що завгодно, крім задач
Вас заинтересует