ПОМОГИИИТЕЕЕЕ! Очень прошу вас помочьПОМОГИИИТЕЕЕЕ!Очень прошу вас помочь мне((
Докажите тождество :
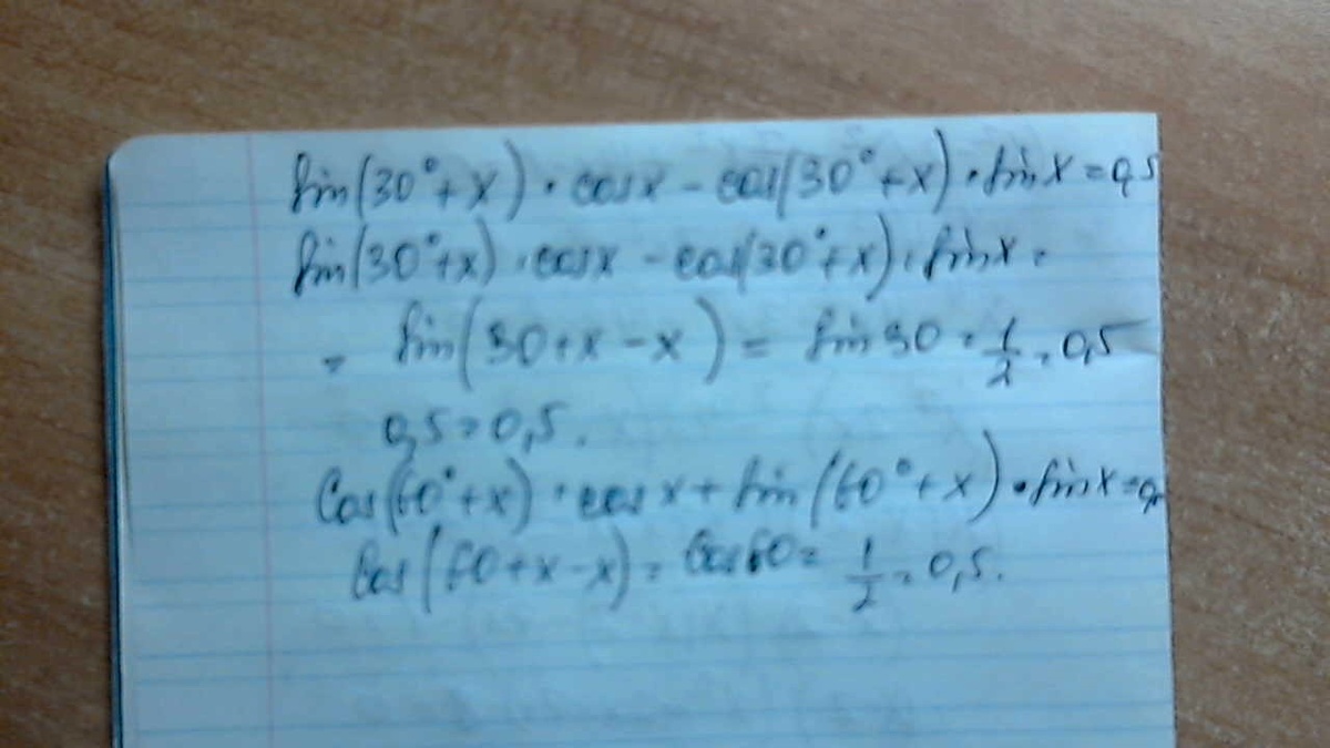
1)sin(30градусов+x)сosx-cos(30градусов+x)sinx=0,5
2)cos(60градусов+x)cosx+sin(60градусов+x)sinx=0,5
Ответы
Ответ дал:
0
Решениеееееееееееееееееее
Приложения:

Вас заинтересует
2 года назад
2 года назад
8 лет назад
8 лет назад
10 лет назад
10 лет назад
10 лет назад