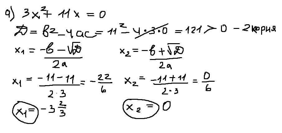
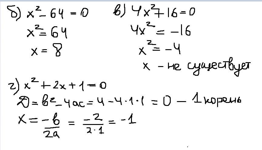
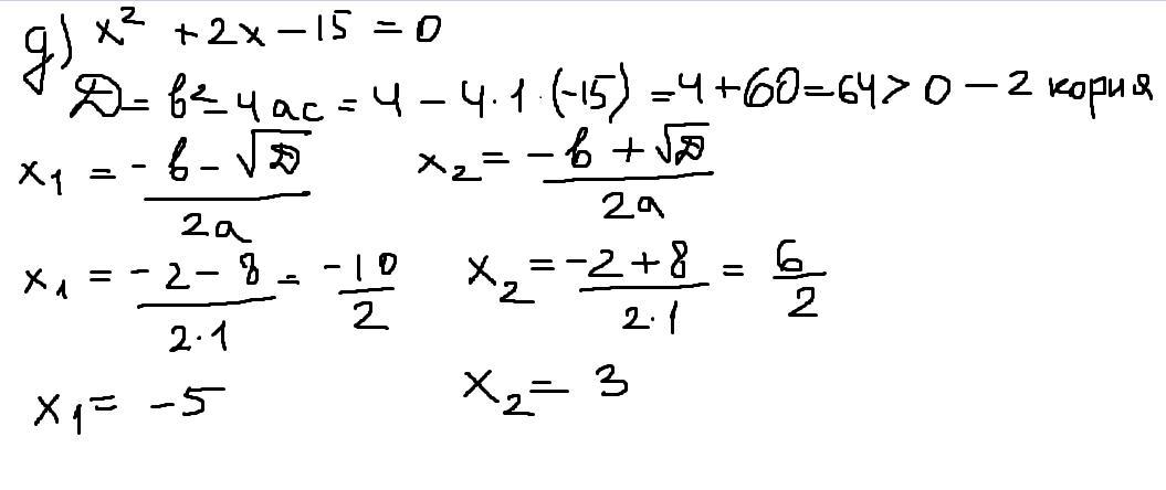
Допоможіть , будь ласка, дуже терміново потрібно! Даю багато балів!! Тільки 1,2,3,4 завдання
Приложения:

Ответы
Ответ дал:
1
Ответ:
1)
а = 5, b = -4, c = 1
2)
D = b² - 4ac = (-4)² - 4 * 5 * 1 = -4
3)
0 корней, так как дискриминант меньше нуля.
4) Прикреплю картинку
Объяснение:
Приложения:



krissstinka234:
Спасибо большое ❤️
Вас заинтересует
1 год назад
1 год назад
1 год назад
3 года назад
3 года назад
8 лет назад