• Предмет: Алгебра
  • Автор: khmvsa05
  • Вопрос задан 2 года назад

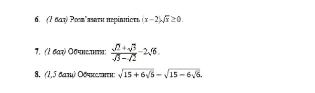
ДОПОМОЖІТЬ БУДЬ ЛАСКА ВИРІШИТИ ЗАВДАННЯ, СРОЧНО. ВІДДАЮ ВСІ БАЛИ

Приложения:

kulykkateryna: с решением?
kulykkateryna: или просто ответ?
khmvsa05: было бы лучше с решением
kulykkateryna: там решение очень большое..

Ответы

Ответ дал: kulykkateryna
1

я напишу только ответы (прости..)

1) ( картинка )

2) 5

3) 2√6

Приложения:
Вас заинтересует