• Предмет: Математика
  • Автор: algazinovadinara89
  • Вопрос задан 2 года назад

2x+y=5, 13x+2y=-4,
Помагите пж​

Ответы

Ответ дал: NNNLLL54
0

Ответ:

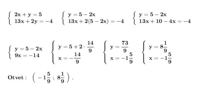
Систему решаем методом подстановки . Из 1 уравнения выразим  у  и подставим выражение во 2 уравнение .

\left\{\begin{array}{l}\bf 2x+y=5\\\bf 13x+2y=-4\end{array}\right\ \ \left\{\begin{array}{l}\bf y=5-2x\\\bf 13x+2(5-2x)=-4\end{array}\right\ \ \left\{\begin{array}{l}\bf y=5-2x\\\bf 13x+10-4x=-4\end{array}\right

\left\{\begin{array}{l}\bf y=5-2x\\\bf 9x=-14\end{array}\right\ \ \left\{\begin{array}{l}\bf y=5+2\cdot \dfrac{14}{9}\\\bf x=-\dfrac{14}{9}\end{array}\right\ \  \left\{\begin{array}{l}\bf y=\dfrac{73}{9}\\\bf x=-1\dfrac{5}{9}\end{array}\right\ \ \left\{\begin{array}{l}\bf y=8\dfrac{1}{9}\\\bf x=-1\dfrac{5}{9}\end{array}\right\\\\\\\bf Otvet:\ \ \Big(\, -1\dfrac{5}{9}\ ;\ 8\dfrac{1}{9}\ \Big)\ .

Приложения:
Ответ дал: iramazurk
0

Пошаговое объяснение:

{2х + у = 5 | * -2

{13х + 2у = -4

{-4х - 2у = -10

{13х + 2у = -4

{9х = -14

{13х + 2у = -4

1)

9х = -14

х = -14 : 9

х = -14/9

х = -1 5/9

2)

13х + 2у = -4

13 * (-14/9) + 2у = -4

-182/9 + 2у = -4

-20 2/9 + 2у = -4

2у = -4 + 20 2/9

2у = 16 2/9

2у = 146/9

у = 146/9 : 2

у = 146/9 * 1/2

у = 73/9 * 1/1

у = 73/9

у = 8 1/9

(-1 5/9; 8 1/9)

Вас заинтересует