Ответы
Ответ дал:
1
)))))))))₽₽₽)₽))))))))))))
Приложения:
Ответ дал:
1
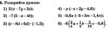
1.2(x-7y+3z)
2x-2•7y+2•3z
2x-14y+6z
2.-7(5-a-4b)
-7•5-7•(-a)-7•(-4b)
-35+7a+28b
3.(c-8d+6d)•(-1,2)
(c-2d)•(1,2)
-1,2c+2,4d
4.-p•(-x+2y-4,6)
-p•(-x)-2p y-p•(-4,6)
p x -2p y+4,6p
5.-0,6x•(-5+3m-1,4n)
-0,6x•(-5)-0,6x•(-1,4n)
3x-1,8 mx +0,84n x
6.-8(3/4a+1/2b-5/16c-0,6)
-8(3/4a+1/2b-5/16c-3/5)
-6a-4b+5/2c+24/5
2x-2•7y+2•3z
2x-14y+6z
2.-7(5-a-4b)
-7•5-7•(-a)-7•(-4b)
-35+7a+28b
3.(c-8d+6d)•(-1,2)
(c-2d)•(1,2)
-1,2c+2,4d
4.-p•(-x+2y-4,6)
-p•(-x)-2p y-p•(-4,6)
p x -2p y+4,6p
5.-0,6x•(-5+3m-1,4n)
-0,6x•(-5)-0,6x•(-1,4n)
3x-1,8 mx +0,84n x
6.-8(3/4a+1/2b-5/16c-0,6)
-8(3/4a+1/2b-5/16c-3/5)
-6a-4b+5/2c+24/5
Вас заинтересует
1 год назад
1 год назад
1 год назад
3 года назад
3 года назад
8 лет назад