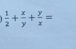
помогите решить пожалуйста. тема если что: сложение и вычитание алгебраических дробей
Приложения:

Ответы
Ответ дал:
1
Ответ на фото:
Объяснение:
Объяснение:
Приложения:

Ответ дал:
2
Ответ:
Ответ на фотке
Объяснение:
Приложения:

Вас заинтересует
1 год назад
1 год назад
1 год назад
1 год назад
3 года назад
8 лет назад
8 лет назад