Ответы
Ответ дал:
1
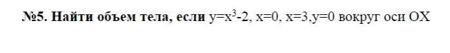
Для нахождения объема тела, получаемого вращением кривой y = x^3 - 2 вокруг оси ОХ, мы можем использовать формулу цилиндрических оболочек.
Объем тела, получаемого вращением кривой y = f(x) вокруг оси ОХ на отрезке [a, b], равен:
V = π∫[a,b] f(x)^2 dx
В данном случае, мы имеем кривую y = x^3 - 2, которая пересекает ось ОХ в точках x = 0 и x = 3. Значит, мы будем интегрировать по отрезку [0, 3].
Таким образом, объем тела равен:
V = π∫[0,3] (x^3 - 2)^2 dx
Для упрощения вычислений мы можем возвести квадрат в скобках:
V = π∫[0,3] (x^6 - 4x^3 + 4) dx
Теперь мы можем интегрировать каждый член выражения по отрезку [0, 3]:
V = π(1/7 x^7 - 2 x^4 + 4x)∣[0,3]
V = π(1/7 (3)^7 - 2 (3)^4 + 4(3)) - π(1/7 (0)^7 - 2 (0)^4 + 4(0))
V = π(2187/7 - 54 + 12)
V = (2187/7 - 54 + 12)π
V = (2187/7 - 42)π
Итак, объем тела, получаемого вращением кривой y = x^3 - 2 вокруг оси ОХ на отрезке [0, 3], равен (2187/7 - 42)π.
Объем тела, получаемого вращением кривой y = f(x) вокруг оси ОХ на отрезке [a, b], равен:
V = π∫[a,b] f(x)^2 dx
В данном случае, мы имеем кривую y = x^3 - 2, которая пересекает ось ОХ в точках x = 0 и x = 3. Значит, мы будем интегрировать по отрезку [0, 3].
Таким образом, объем тела равен:
V = π∫[0,3] (x^3 - 2)^2 dx
Для упрощения вычислений мы можем возвести квадрат в скобках:
V = π∫[0,3] (x^6 - 4x^3 + 4) dx
Теперь мы можем интегрировать каждый член выражения по отрезку [0, 3]:
V = π(1/7 x^7 - 2 x^4 + 4x)∣[0,3]
V = π(1/7 (3)^7 - 2 (3)^4 + 4(3)) - π(1/7 (0)^7 - 2 (0)^4 + 4(0))
V = π(2187/7 - 54 + 12)
V = (2187/7 - 54 + 12)π
V = (2187/7 - 42)π
Итак, объем тела, получаемого вращением кривой y = x^3 - 2 вокруг оси ОХ на отрезке [0, 3], равен (2187/7 - 42)π.
Вас заинтересует
2 года назад
2 года назад
2 года назад
3 года назад
3 года назад
9 лет назад