• Предмет: Математика
  • Автор: Аноним
  • Вопрос задан 2 года назад

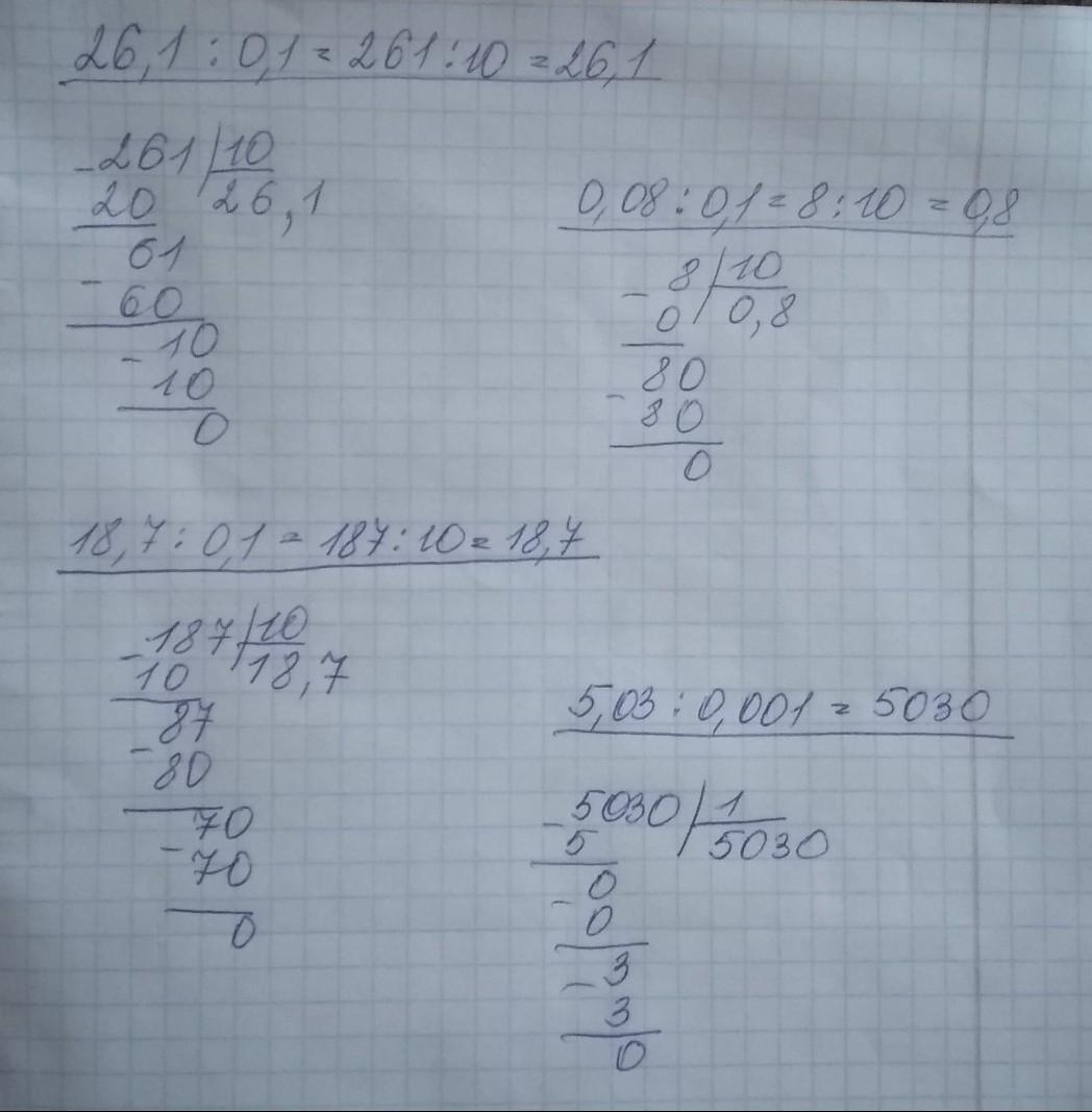
Знайди частку чисел. В СТОВПЧИК В СТОЛБИК
а) 26,1 : 0,1; б) 0,08 : 0,1; в) 18,7 : 0,1; г) 5,03 : 0,001


Аноним: ну что тебе тоже угрожают заблокировать?мне стерли такое же задание где я дарила баллы:(

Ответы

Ответ дал: iramazurk
0

Пошаговое объяснение:

Смотри в прикреплённом файле

Приложения:
Вас заинтересует