• Предмет: Математика
  • Автор: eniakksak
  • Вопрос задан 2 года назад

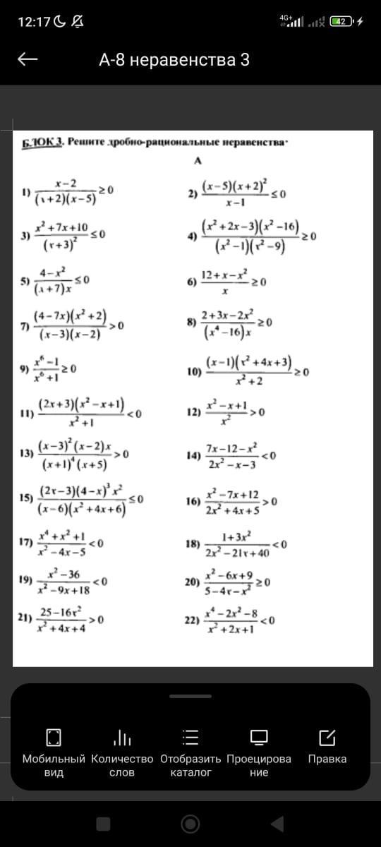
Решите дробно рациональные неравенства, с 2 до 10 пожалуйста! отдам 40 баллов

Приложения:

2rndmb7jnh: до 10 примера?

Ответы

Ответ дал: 2rndmb7jnh
0
ответ:
объяснение:
решение:
Приложения:

accountzablokirovan: давть инсту?
Вас заинтересует