Помогите!!
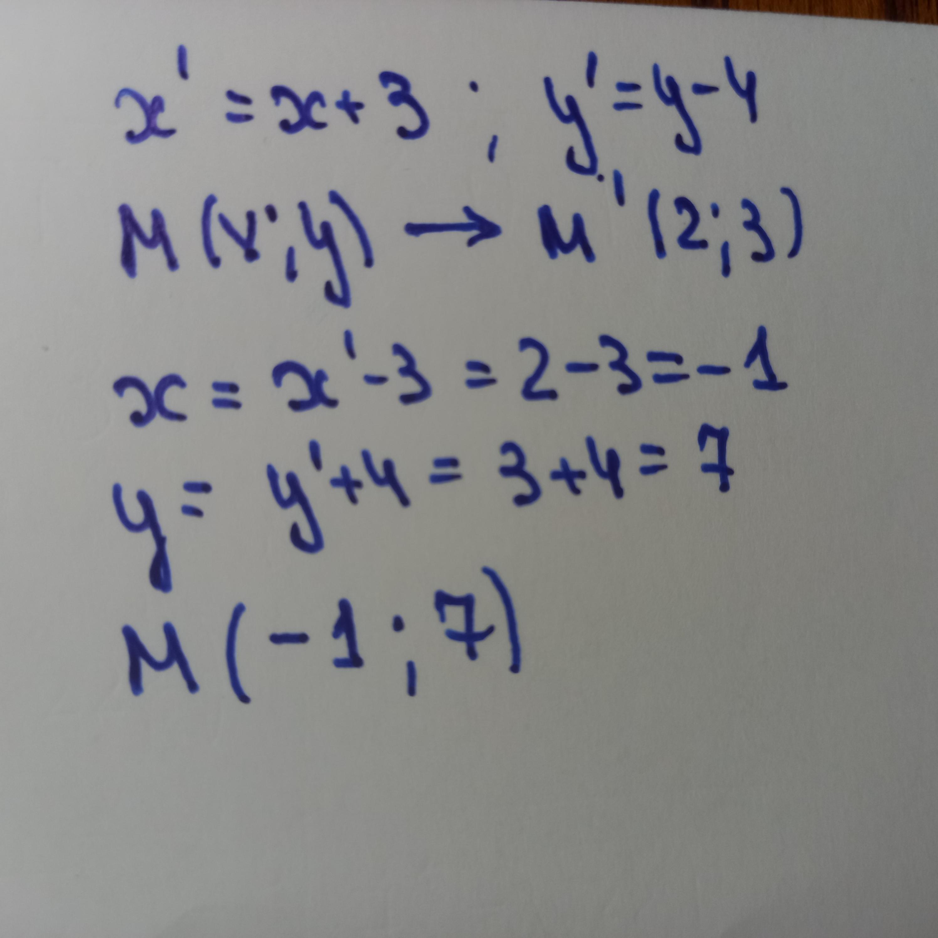
паралельне перенесення задано формулами х' = х+3; y' =y-4. Яка точка при цьому паралельному перенесенні переходить у точку М'(2;3)
Ответы
Ответ дал:
1
Відповідь:
Пояснення:
розв'язання завдання додаю
Приложения:

matsuri35:
Пробачте,що так пізно пишу вам.Але в мене є завдання з алгебри яке я неможу вирішити. Будь ласка продивіться його, звісно як буде вільний час.
Вас заинтересует
1 год назад
1 год назад
1 год назад
3 года назад
3 года назад
8 лет назад