• Предмет: Алгебра
  • Автор: kiracernoivanenko
  • Вопрос задан 2 года назад

Методом додавання розв'яжіть систему лiнiйних рiвнянь:
СРОЧНО ПОЖАЛУЙСТА ​

Приложения:

Ответы

Ответ дал: yanata101
1

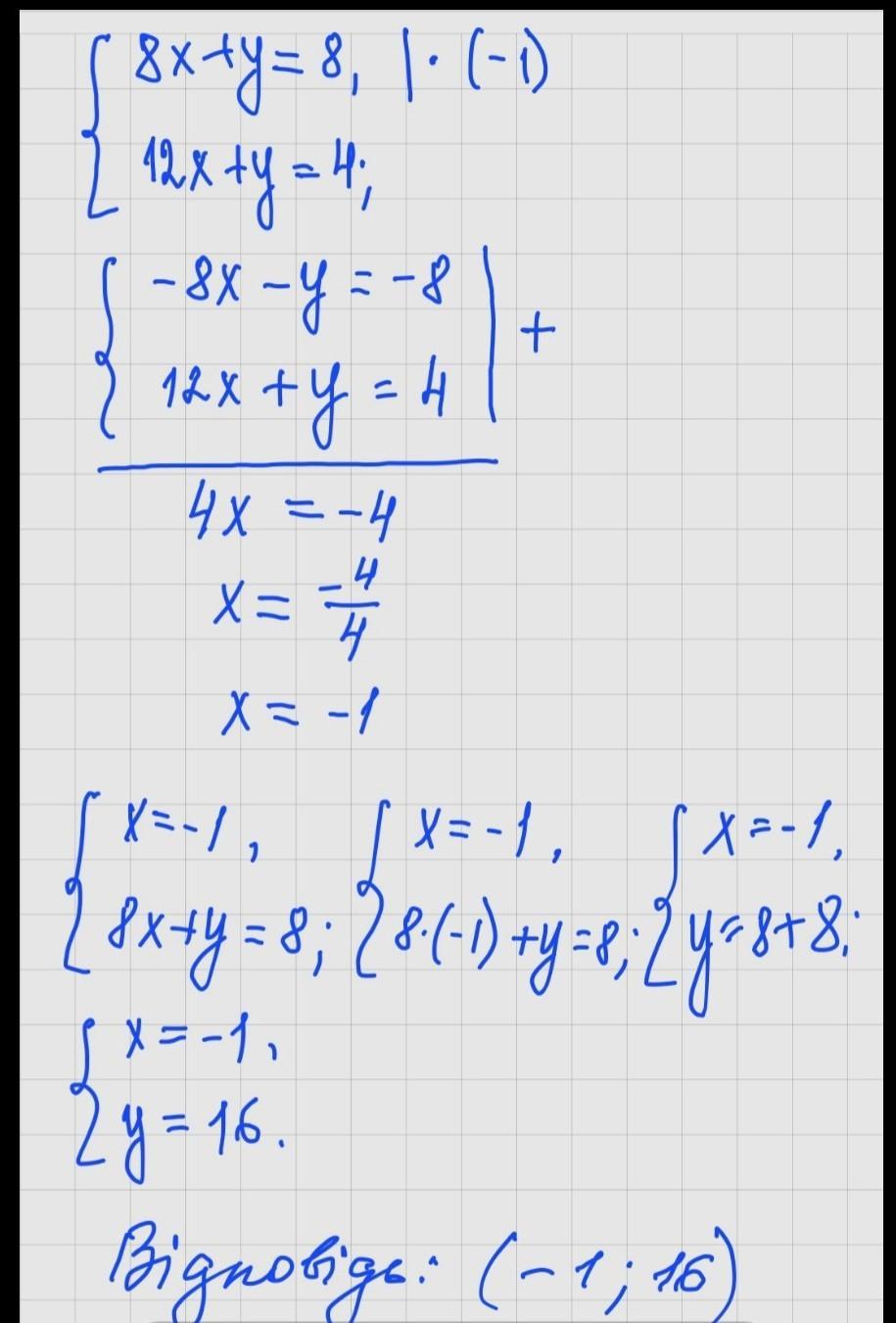
Система розв'язана на фото

Приложения:
Вас заинтересует