• Предмет: Алгебра
  • Автор: Topchikmix
  • Вопрос задан 2 года назад

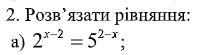
Решіть рівняння. срочно

Приложения:

Ответы

Ответ дал: yugolovin
0

Ответ:

2.

Объяснение:

 2^{x-2}=5^{2-x};\ 2^{x-2}=5^{-(x-2)};\ 2^{x-2}=\dfrac{1}{5^{x-2}};\ 2^{x-2}\cdot 5^{x-2}=1;\ 10^{x-2}=10^{0};

                                                x-2=0;\ x=2.

Вас заинтересует