Ответы
Ответ дал:
1
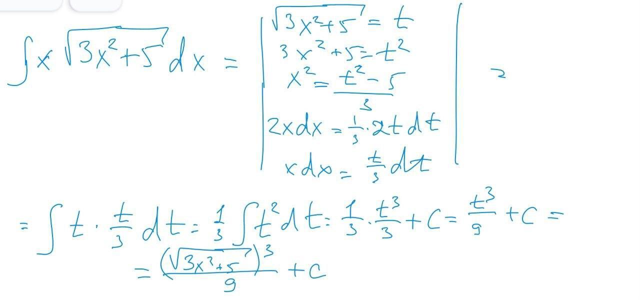
Відповідь і покрокове пояснення: на фото
Приложения:

rafael90728:
огромное спасибо здоровья тебе
Вас заинтересует
1 год назад
1 год назад
1 год назад
1 год назад
3 года назад
3 года назад
8 лет назад
8 лет назад