• Предмет: Математика
  • Автор: kostjapip27
  • Вопрос задан 2 года назад

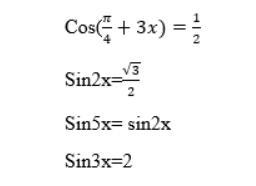
Срочно помогите, пожалуйста! Хотя бы с одним!

Приложения:

Ответы

Ответ дал: manyny06
0

Ответ:

решение смотри на фотографии

Приложения:
Вас заинтересует