• Предмет: Математика
  • Автор: turfesefr3w3
  • Вопрос задан 2 года назад

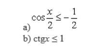
Помогите решить неравенства, пожалуйста!

Приложения:

Ответы

Ответ дал: kirillogachov11
0

Ответ:

сос25 12

Пошаговое объяснение:

стдх1112 на роботу то ти що не

Вас заинтересует