• Предмет: Математика
  • Автор: timurtykva
  • Вопрос задан 2 года назад

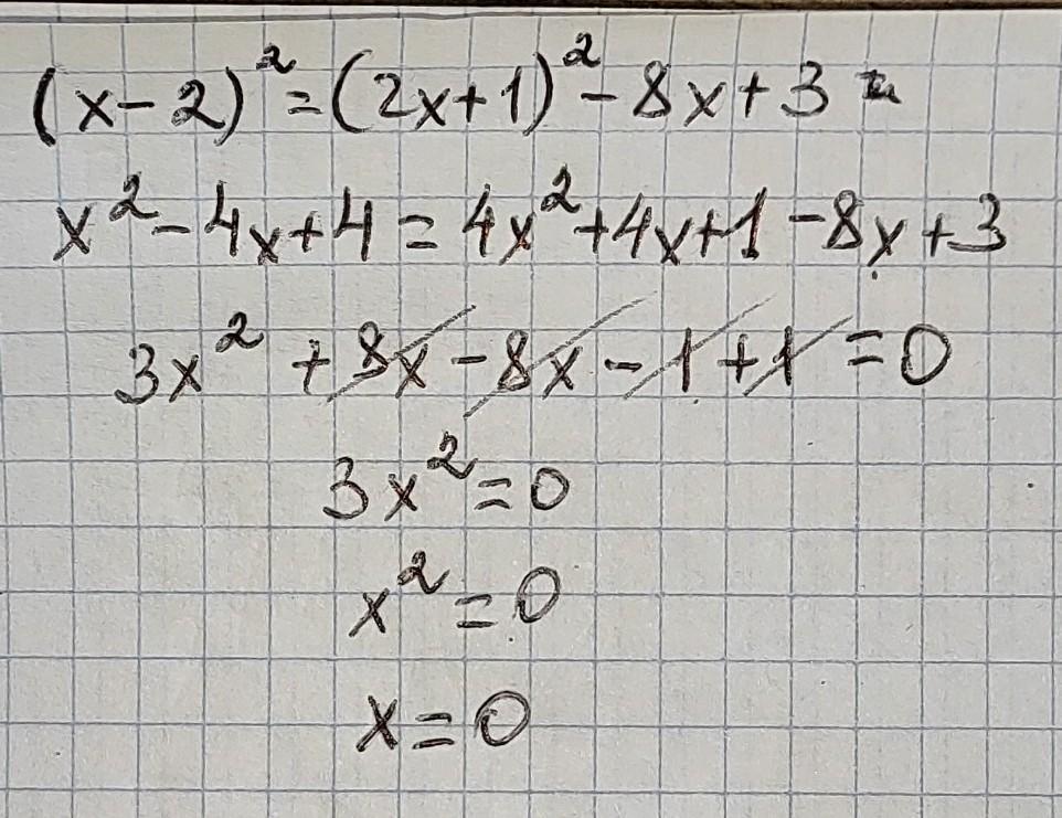
Розв'язків рівняння (x - 2)² = (2x + 1)² - 8x + 3.
А) -5
Б) 4
В) -2
Г) 0 ​


lizakochet82: Просто ответ?
lizakochet82: Или ещё нужно как делать?

Ответы

Ответ дал: tetamotatetyamotya
1

Ответ:

................

Пошаговое объяснение:

...........

Приложения:
Ответ дал: lizakochet82
1

Відповідь:на фото,задавай вопросы если не понятно:

Покрокове пояснення:

Приложения:
Вас заинтересует