• Предмет: Алгебра
  • Автор: Аноним
  • Вопрос задан 2 года назад

Алгебра. Даю 100 балів. потрібно вирішити завдання з максимальним поясненням щоб було усе зрозуміло будь ласка.

з дуже детальним поясненням будь ласка

Приложения:

Ответы

Ответ дал: Universalka
1

\displaystyle\bf\\1)\\\\S_{bok} =2\pi RH\\\\2\pi RH=24\pi   \  \ \Rightarrow \  \ RH=24\pi :2\pi =12\\\\\boxed{R\cdot H=12}\\\\V=\pi R^{2} H\\\\\pi R^{2} H=48\pi  \  \ \Rightarrow \  \ R^{2}H=48\pi :\pi =48\\\\:\left \{ {{R^{2}H=48 } \atop {RH=12}} \right.\\ -------\\R=4\\\\H=\frac{12}{R} =\frac{12}{4} =3\\\\Otvet \ : \ H=3

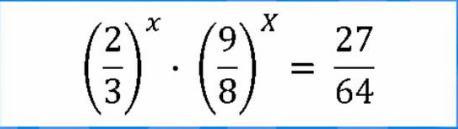
\displaystyle\bf\\2)\\\\\Big(\frac{2}{3} \Big)^{x} \cdot \Big(\frac{9}{8} \Big)^{x} =\frac{27}{64} \\\\\\\Big(\frac{2}{3}\cdot \frac{9}{8}  \Big)^{x} =\frac{27}{64} \\\\\\\Big(\frac{3}{4} \Big)^{x} =\Big(\frac{3}{4} \Big)^{3}\\\\\\Otvet \ : \ x=3\\\\3)\\\\5^{2x} \cdot 6^{2x} =900\\\\(5\cdot 6)^{2x}=900\\\\30^{2x}=30^{2} \\\\2x=2\\\\x=1\\\\Otvet \ : \ 1


Universalka: :)
Вас заинтересует