• Предмет: Математика
  • Автор: velik228654
  • Вопрос задан 2 года назад

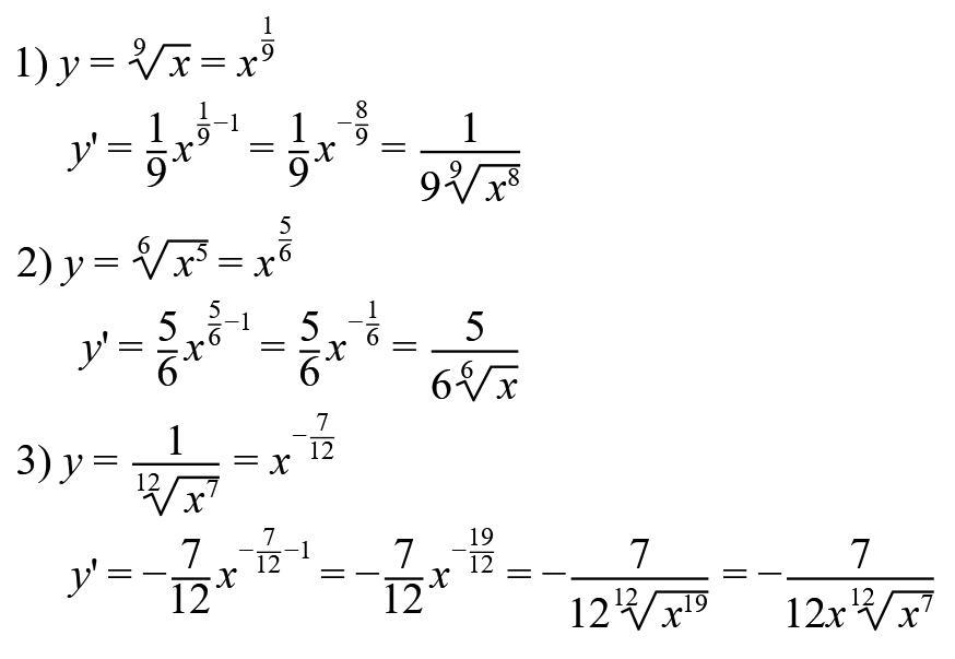
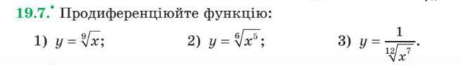
Продиференціюйте функцію

Приложения:

Ответы

Ответ дал: palilov243659
1

Ответ:

Пошаговое объяснение:

//////////////////////////////////////

Приложения:
Вас заинтересует