• Предмет: Алгебра
  • Автор: valeriazabuzanska338
  • Вопрос задан 2 года назад

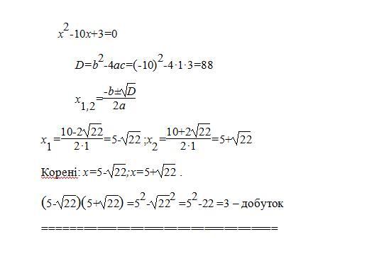
Чому дорівнює добуток коренів рівняння 3×^2 - 10х + 3 = 0?

Ответы

Ответ дал: ArtemCC
0

Ответ:

...

Объяснение:

Приложения:
Вас заинтересует