• Предмет: Алгебра
  • Автор: viktorovnaI
  • Вопрос задан 2 года назад

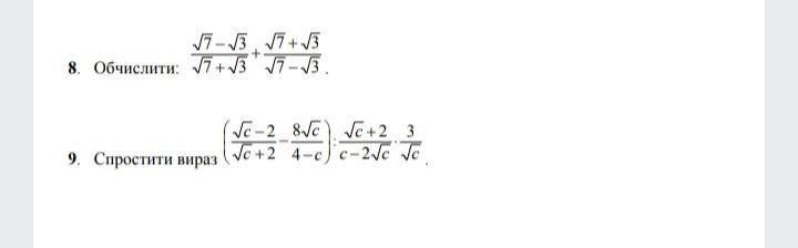
ДОПОМОЖІТЬ БУДЬ ЛАСКА З ВИРІШЕННЯМ КОНТРОЛЬНОЇ РОБОТИ. ДУЖЕ ТРЕБА

Приложения:

Ответы

Ответ дал: oleksandrprijmak025
1

Объяснение:

це восьме завдання девяте не знаю

Приложения:
Вас заинтересует