• Предмет: Математика
  • Автор: jsnsnsnhzhzhssbd
  • Вопрос задан 2 года назад

помогите плиз даю 50!!​

Приложения:

Ответы

Ответ дал: natalyabryukhova
0

Ответ:

\displaystyle \bf     2\frac{4}{9}

Пошаговое объяснение:

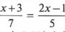
Решить уравнение:

\displaystyle \bf     \frac{x+3}{7}=\frac{2x-1}{5}

Избавимся от знаменателя, умножив обе части уравнения на 35. Раскроем скобки, перенесем неизвестные влево, известные вправо.

При переносе через знак "равно" не забываем поменять знак на противоположный.

Приведем подобные члены и разделим обе части уравнения на числовой коэффициент при х.

\displaystyle \bf     5(x+3) = 7(2x-1)\\\\5x+15=14x-7\\\\5x-14x=-7-15\\\\-9x=-22\;\;\;\;\;|:(-9)\\\\x=\frac{-22}{-9} \\\\x=2\frac{4}{9}


powerdenjiedits666: помоги с алгеброй
Вас заинтересует