• Предмет: Алгебра
  • Автор: daniilvoytov666
  • Вопрос задан 2 года назад

Помогите решить уравнение

Приложения:

Ответы

Ответ дал: liz2307
0

Ответ:

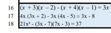
16) (x+3)(x-2)-(x+4)(x-1)=3x

x²-2x+3x-6-x²-x+4x-4-3x=0

x-10=0

x=10

17) 4x(3x+2)-3x(4x-5)=3x-8

12x+8x-12x+15x-3x=-8

20x=-8

x=-0,4

18) 21x²-(3x-7)(7x-3)=37

21x²-21x²+9x-49x+21=37

-40x=16

x=-0,4


daniilvoytov666: А почему -40x?
daniilvoytov666: Равен 16?
liz2307: потому что 37-21=16
Вас заинтересует