Ответы
Ответ дал:
0
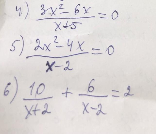
4) х≠5
3х(х-2)=0
х=0
х=2
5)х≠2
2х(х-2)
х=0
6)х≠+-2
Фото
16х-2хх=0
2х(8-х)=0
х=0
х=8
хх-х в квадрате
Можно, пожалуйста, корону
3х(х-2)=0
х=0
х=2
5)х≠2
2х(х-2)
х=0
6)х≠+-2
Фото
16х-2хх=0
2х(8-х)=0
х=0
х=8
хх-х в квадрате
Можно, пожалуйста, корону
Приложения:

Вас заинтересует
1 год назад
1 год назад
1 год назад
3 года назад
3 года назад