• Предмет: Математика
  • Автор: Аноним
  • Вопрос задан 2 года назад

Пожайлуста очень срочно!

Приложения:

Ответы

Ответ дал: Nikitos17732
1

Ответ:

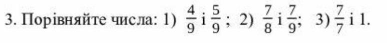
1)4/9<5/9
2)7/8>7/9
3)7/7=1

Пошаговое объяснение:

Надеюсь помог


Nikitos17732: Спасибо
Вас заинтересует