ПИШИТЕ С РЕШЕНИЕМ, С ИНТЕРНЕТА НЕ НУЖНО
40.2. Выполните умножение:
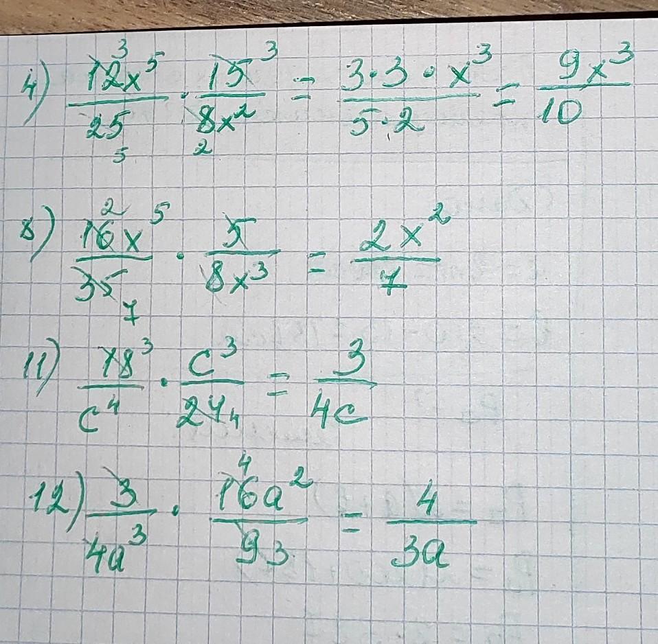
4)12х⁵/25 • 15/8х²
8)16х⁵/35 • 5/8х³
11)18/с⁴ • с³/24
12) 3/4а³ • 16а²/9
Приложения:

Ответы
Ответ дал:
2
Ответ:
...........
Объяснение:
..................
Приложения:

BHFARS:
Спасибо!!
Ответ дал:
1
Вас заинтересует
1 год назад
1 год назад
1 год назад
3 года назад
3 года назад
8 лет назад