• Предмет: Алгебра
  • Автор: gaohrlxbeood
  • Вопрос задан 2 года назад

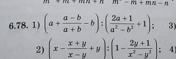
6.78 (1) можно пожалуйста письменно в виде фото​

Приложения:

Ответы

Ответ дал: Universalka
2

\displaystyle\bf\\1)\\\\a+\frac{a-b}{a+b} -b=\frac{a\cdot(a+b)+a-b-b\cdot(a+b)}{a+b} =\\\\\\=\frac{a^{2} +ab+a-b-ab-b^{2} }{a+b} =\frac{(a^{2} -b^{2} )+(a-b)}{a+b} =\\\\\\=\frac{(a-b)(a+b)+(a-b)}{a+b} =\frac{(a-b)(a+b+1)}{a+b} \\\\2)\\\\\frac{2a+1}{a^{2} - b^{2} } +1=\frac{2a+1+a^{2}-b^{2}  }{a^{2} -b^{2} } =\frac{(a^{2} +2a+1)-b^{2} }{a^{2} -b^{2} }=\\\\\\=\frac{(a+1)^{2} -b^{2} }{a^{2} -b^{2} } =\frac{(a+b+1)(a-b+1)}{(a-b)(a+b)}

\displaystyle\bf\\3)\\\\\frac{(a-b)(a+b+1)}{a+b} :\frac{(a+b+1)(a-b+1)}{(a-b)(a+b)} =\\\\\\=\frac{(a-b)(a+b+1)}{a+b} \cdot\frac{(a-b)(a+b)}{(a+b+1)(a-b+1)}=\\\\\\=\frac{(a-b)^{2} }{a-b+1}


gaohrlxbeood: я попросил 1 но так даже лучше спасибо бро
Universalka: Я и решила 1 , но по действиям .
Вас заинтересует