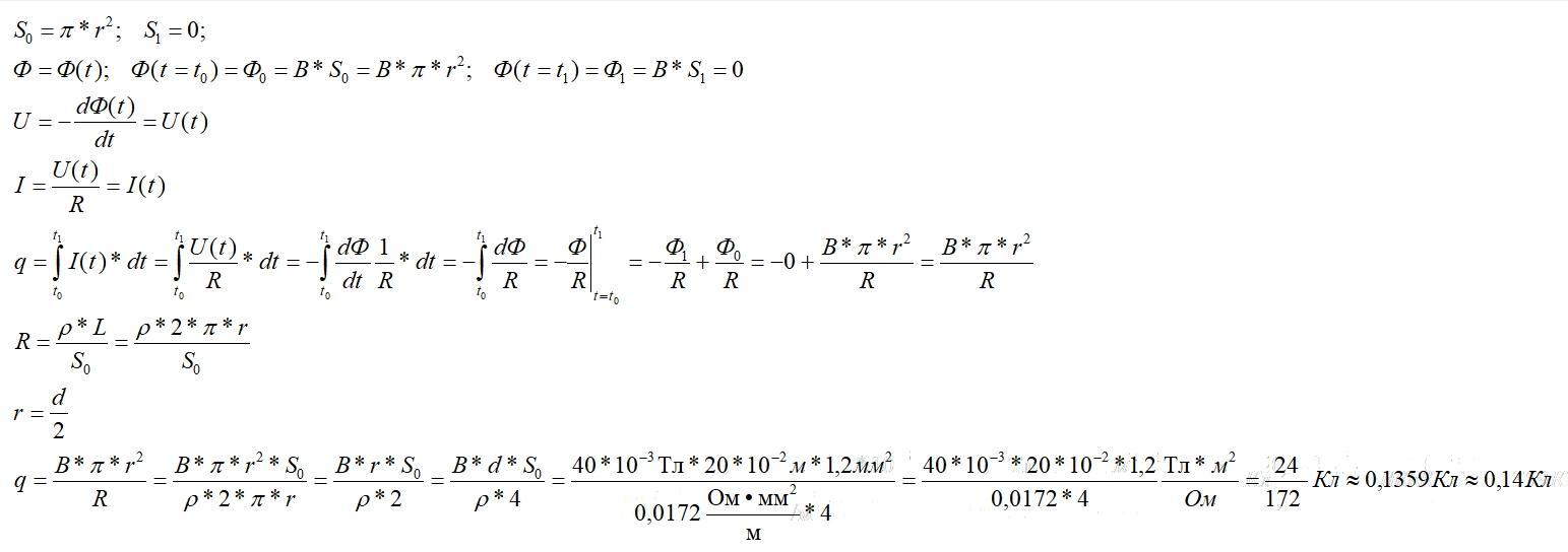
Круговой виток диаметром 20 см из медного провода площадь поперечного сечения которого 1.2 мм² расположен в однородном магнитном поле модуль индукции которого 40 мТл перпендикулярно линиям магнитной индукции. Определите, какой заряд пройдет по витку, если виток вытянуть в сложенный вдвое отрезок прямой?
IUV:
рівень 1-4 класи ?
Ответы
Ответ дал:
1
Відповідь:
Пояснення:
через зміну потока вектора В (поток вектора магнітної індукції позначається літерою Ф) впродовж деякого часу t виникає електрорушівна сил.
за цей час рамкою проходить електричний струм I, який залежить від електричного опору рамки.
в той же час електричний струм це кількість заряду за одиницю часу.
тобто кількість пройденого заряду дорівнює сила струму помножена на час.
це пояснення фізики того що відбувається.
Приложения:

Вас заинтересует
1 год назад
1 год назад
1 год назад
3 года назад
3 года назад
8 лет назад