• Предмет: Алгебра
  • Автор: Givucobobkn
  • Вопрос задан 2 года назад

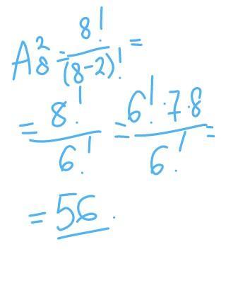
Обчисліть А 2зверху 8знизу

Ответы

Ответ дал: kirosamigos
1

Ответ:

56

прикріпила фото!! сподіваюсь буде зрозуміло!

Приложения:

Givucobobkn: Щиро вам дякую!!!дуже допомогли❤️❤️❤️
Вас заинтересует