• Предмет: Алгебра
  • Автор: polinaponomare193
  • Вопрос задан 2 года назад

пжжжжжжжжжжжжжжжжжжж​

Приложения:

Ответы

Ответ дал: NNNLLL54
1

Ответ:

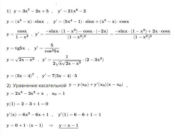
Производные функции находим , применяя правила дифференцирования .

\bf 1)\ \ y=3x^7-2x+5\ \ ,\ \ \ y'=21x^6-2\\\\y=(x^5-x)\cdot sinx\ \ ,\ \ \ y'=(5x^4-1)\cdot  sinx+(x^5-x)\cdot cosx\\\\y=\dfrac{cosx}{1-x^2}\ \ ,\ \ y'=\dfrac{-sinx\cdot (1-x^2)-cosx\cdot (-2x)}{(1-x^2)^2}=\dfrac{(x^2-1)\cdot sinx+2x\cdot cosx}{(1-x^2)^2}

\bf y=tg5x\ \ ,\ \ \ y'=\dfrac{5}{cos^25x}\\\\y=\sqrt{2x-x^3}\ \ ,\ \ y'=\dfrac{1}{2\sqrt{x} \sqrt{2x-x^3}}\cdot (2-3x^2)\\\\\\y=(5x-4)^7\ \ ,\ \ y'=7(5x-4)\cdot 5  

2)  Уравнение касательной  \bf y=y(x_0)+y'(x_0)(x-x_0)   .

\bf y=2x^3-3x^2+x\ \ ,\ \ x_0=1\\\\y(1)=2-3+1=0\\\\y'(x)=6x^2-6x+1\ \ ,\ \ \ y'(1)=6-6+1=1\\\\y=0+1\cdot (x-1)\ \ \ \Rightarrow \ \ \ \underline {y=x-1}        

Приложения:

polinaponomare193: спасибо большое, можешь пж ещё если не сложно 4 упражнения решить по алгебре ,они у меня в ленте
Вас заинтересует