• Предмет: Алгебра
  • Автор: aru091840
  • Вопрос задан 2 года назад

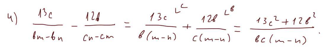
4) 13c bm-bn 12b cn - cm
Помогите, пожалуйста. ​

Приложения:

Ответы

Ответ дал: Warlock1
1

Ответ:

типа того

Объяснение:

Приложения:

aru091840: Спасибо большое
Вас заинтересует