• Предмет: Алгебра
  • Автор: edfr7243
  • Вопрос задан 2 года назад

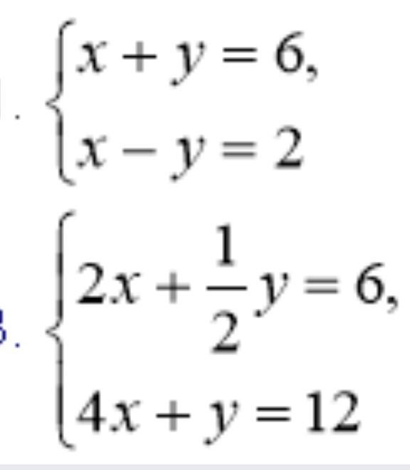
Розв'язати систему рівняня ГРАФІЧНО​

Приложения:

Ответы

Ответ дал: shelestvero
1

........................................

Приложения:
Вас заинтересует