• Предмет: Алгебра
  • Автор: ritaoleksenko78
  • Вопрос задан 2 года назад

допоможіть пж срочно ​

Приложения:

Ответы

Ответ дал: Warlock1
1

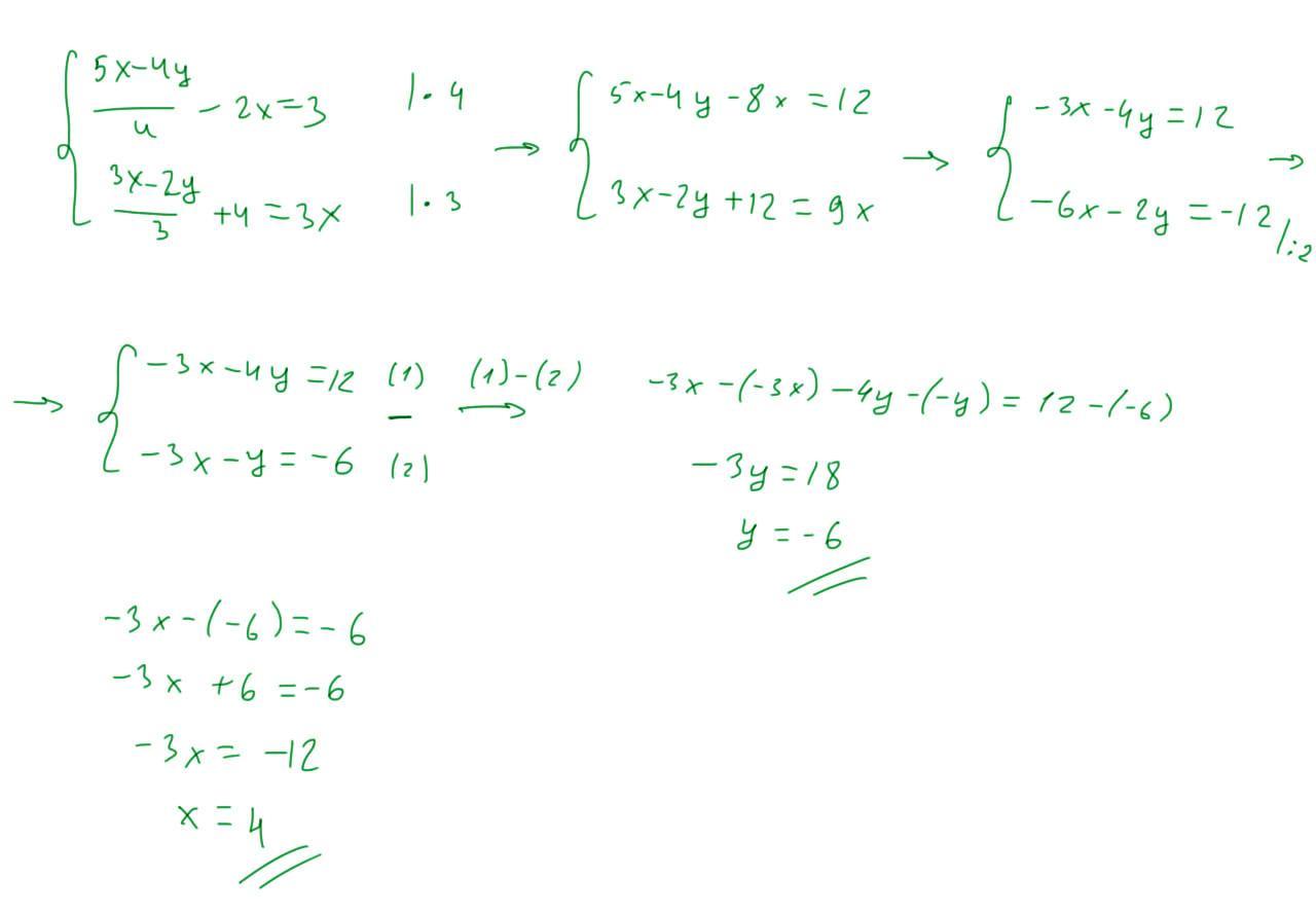
Ответ:

х=4, у=-6

Объяснение:

Приложения:

ritaoleksenko78: дякую
Вас заинтересует