• Предмет: Математика
  • Автор: dankakarpeko11
  • Вопрос задан 2 года назад

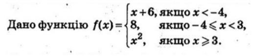
Терміново! Даю 50 балів!!!
Потрібно з розв'язком!!!​

Приложения:

lizapodvoiska: потрібно побудувати ?

Ответы

Ответ дал: Valeri1708
1

Відповідь:

Сподіваюсь,що допомогла.  Відповідь на фото.

Покрокове пояснення:

Приложения:

dankakarpeko11: дуже дякую
Вас заинтересует