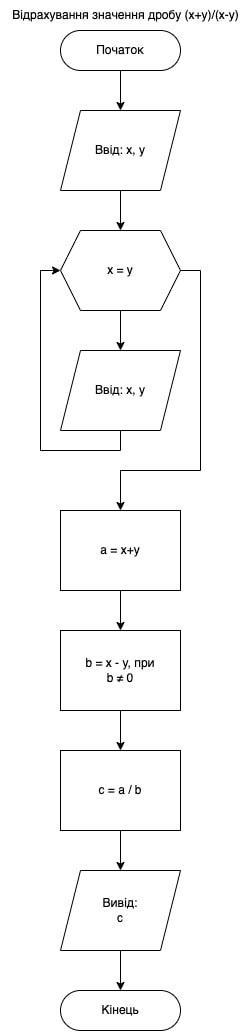
Накреслити блок-схему відрахування значення дробу (x+y)/(x-y)

Ответы

Ответ дал: gmvr
0

Ответ:

відрахування..

Объяснение:

колись буде жиза, друг

Приложения:
Вас заинтересует