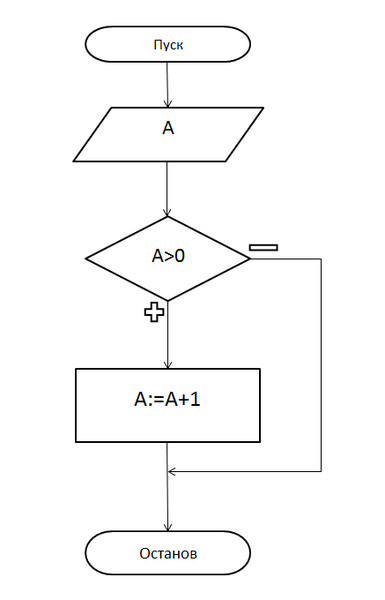
. Дано целое число А. Если значение А > 0, то необходимо увеличить его на единицу. Разработать схему алгоритма для решения этой задачи. Протестировать алгоритм для A=5, A=-4, A=0. сделать в паскале абс
Ответы
Ответ дал:
0
var a:longint;
begin
read(a);
if a>0 then
a:=a+1;
end.
begin
read(a);
if a>0 then
a:=a+1;
end.
Приложения:

Вас заинтересует
2 года назад
8 лет назад
8 лет назад
10 лет назад
10 лет назад
10 лет назад